Bestimme das Skalarprodukt der beiden Vektoren:

Bestimme den Flächeninhalt eines Dreiecks
Einhalb Grundseite mal zugehöriger(!) Höhe
Bestimme die Länge des Vektors 

Gib die Gleichung einer parallelen zur x-Achse an
y=f(x)=c (eine Konstante Zahl), z.B. f(x)=5
Gib die Gleichung einer parallelen zur y-Achse an
x=c (eine Konstante Zahl), z.B. x=5 (dies ist keine Funktion)
Gib eine Stammfunktion an:

Gib eine Stammfunktion an:

Hinweis: Kettenregel
Gib eine Stammfunktion an:

Gib eine Stammfunktion an:

Wann sind eine Ebene und eine Gerade orthogonal?
Wenn der Richtungsvektor der Geraden parallel zum Normalenvektor der Ebene ist. (Vielfache voneinander)
Wann sind zwei Ebenen senkrecht zueinander?
Wenn die Normalenvektoren senkrecht zueinander sind (orthogonal), d.h. ihr Skalarprodukt ist gleich 0.
Wann sind zwei Vektoren senkrecht bzw. orthogonal zueinander?
Wenn ihr Skalarprodukt gleich null ist.
Wann sind zwei Vektoren senkrecht/orthogonal?
Wenn ihr Skalarprodukt gleich 0 ist
Was gilt für einen Berührpunkt?
gleicher Funktionswert und gleiche Steigung:

f(x)=g(x) und f'(x)=g'(x)
Was ist die Dimension einer Matrix und wie bezeichnet man die einzelnen Einträge?
Die Dimension gibt die Anzahl der Zeilen und Spalten an. Eine Matrix mit m Zeilen und n Spalten hat die Dimension m x n (sprich m kreuz n).
Ein Element der Matrix A wird mit zwei Indexzahlen angegeben, dabei kommt immer die Zeile zuerst:
Merkhilfe: Zeilen Zuerst, SPalten SPäter
Was ist die mittelere Änderungsrate einer Funktion und wie bestimmt man sie?
Die mittlere Änderungsrate ist die durchschnittliche Änderung zwischen zwei Zeitpunkten (oder Stellen). Man bestimmt sie mit Hilfe des Steigungsdreiecks oder durch
Was ist die momentane Änderungsrate einer Funktion?
Der Wert der momentanen Änderungsrate einer Funktion wird durch die erste Ableitung an dieser Stelle (in dem Moment) gegeben.
Was ist ein Stationärer Zustand, eine stationäre Verteilung bzw. ein Fixvektor?
Ein Zustand bzw. Vektor der sich bei erneuter Anwendung der Matrix (also im Folgezustand) nicht verändert.
Was ist ein verketteter Prozess?
Wenn mind. zwei Prozesse hintereinander ausgeführt werden (z.B. wie bei einer Produktionsmatrix mit Grundstoffen, Zwischenprodukten und Endprodukten)
Was ist eine Basis eines Vektorraums?
Das sind drei (in dreidimensionalen Raum) linear unabhängige Vektoren. Mit diesen drei Vektoren kann man also den ganzen Raum erreichen durch Bildung einer Linearkombination:
Was ist eine Linearkombination von Vektoren?
Die Summe von Vielfachen der gegebenen Vektoren:
Was ist eine Normale und wie erhält man ihre Steigung?
Eine Normale ist eine Senkrechte zur Funktion, sie liegt somit um 90° gedreht zur Tangente. Ihre Steigung erhält man als negativen Kehrwert der Tangentensteigung:
Was passiert bei der Anwendung einer Übergangsmatrix auf einen Fixvektor (stationären Zustand)
Er verändert sich nicht
Welche Bedeutung/Eigenschaften hat das Kreuzprodukt zweier Vektoren?
Der Vektor der sich als Kreuzprodukt ergibt steht senkrecht auf den beiden Ausgangsvektoren. (z.B. als Normalenvektor)

Seine Länge/Betrag entspricht der Fläche des aufgespannten Parallelogramms.
Welches ist die notwendige und die hinreichende Bedingung einer lokalen Extremstelle?
notwendig:

hinreichend:  und
Wie berechnet man das Volumen eines Rotationsköpers?
Bei Rotation um die x-Achse. Die Kleinen Kreisscheiben mit der Fläche  werden sozusagen aufintegriert.
Wie berechnet man in einem festgelegten Intervall den Flächeninhalt A zwischen einer Funktion f(x) und der x-Achse?

Ist der Flächeninhalt negativ so liegt die Funktion unterhalb der x-Achse. Der Flächeninhalt ist dann der positive Wert (Betrag) des Ergebnisses.

Achtung: Es darf keine Nullstelle der Funktion in dem Intervall liegen, sonst müssen die beiden Teilflächen einzeln bestimmt werden.
Wie bestimmt man aus drei gegebenen Punkten A,B und C die zugehörige Ebenengleichung?
Die Verbindungsvektoren zweier Vektoren werden zu Richtungsvektoren und einer der drei Punkte zum Stützvektor der Ebene. Häufige Wahl:
oder

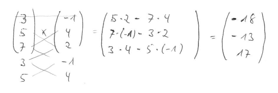
Wie bestimmt man das Kreuzprodukt zweier Vektoren?
ein Bild sagt mehr als 1000 Worte...
Wie bestimmt man das Krümmungsverhalten einer Funktion?
Das Krümmungsverhalten wird durch die zweite Ableitung bestimmt. Ist die zweite Ableitung kleiner als 0 (f''(x) < 0), so ist die Funktion rechtsgekrümmt. Sie ist linksgekrümmt, wenn die zweite Ableitung größer als Null ist. 

Merktipp: Man kann sich das durch die Hochpunkte (f''<0) und Tiefpunkte (f''>0) oder den Smiley (> 0 lächelnder Smiley, der Mund ist linksgekrümmt) merken.

rechnerisches Vorgehen: Man bestimmt die Stellen an denen die zweite Ableitung 0 ist (man setzt f''(x)=0) und prüft an selbst gewählten Zwischenwerten ob die zweite Ableitung positiv ist. (Fachlicher Hinweis. Dies Funktioniert natürlich nur sicher bei einer stetigen überall gleichmäßig differenzierbaren Funktion. Im Abitur sind das aber eigentlich alle Funktionen)
Wie bestimmt man das Volumen einer Pyramide oder Spitzen Kegels?
G ist die Grundfläche
Wie bestimmt man das Volumen eines Prismas?
V = G h
Volumen gleich Grundfläche mal Höhe
(gilt auch für Zylinder oder ähnliches)
Wie bestimmt man das Volumen eines Quaders (Würfels)?
VQuader=a b c
VWürfel = a3
Wie bestimmt man den Durchschnitt (das arithmetische Mittel) einer Menge von Zahlen.
Man addiert alle Zahlen und dividiert durch die Anzahl.
Wie bestimmt man den Flächeninhalt eines Parallelogramms
Grundseite mal zugehöriger Höhe
Wie bestimmt man den Flächeninhalt eines Trapezes?
Wie bestimmt man den Flächeninhalt und den Umfang des Kreises?
Wie bestimmt man den Mittelpunkt M zwischen zwei Punkten?
In Worten: Man addiert die Koordinaten und dividiert sie jeweils durch zwei
Wie bestimmt man den Mittelpunkt M zwischen zwei gegebenen Punkten A und B?
Wie bestimmt man den Schnittpunkt zweier Funktionen?
Durch Gleichsetzen (f(x) = g(x)). 

Wenn man nach x auflöst erhält man die Schnittstelle. Diese setzt man dann in f(x) oder g(x) ein um den y-Wert des Schnittpunkts zu erhalten.
Wie bestimmt man den Schwerpunkt S eines Dreiecks ABC?
Wie bestimmt man den Verbindungsvektor von zwei Vektoren A und B?
Wie bestimmt man den Winkel zwischen zwei Vektoren?
Es gilt:
Wie bestimmt man den y-Achsenabschnitt?
Man bestimmt f(0)
Wie bestimmt man die Fläche zwischen zwei Kurven?
Zunächst müssen die Schnittpunkte der beiden Kurven bestimmt werden (f(x)=g(x) ). 
Dann bestimmt man (wenn nötig) nacheinander jeweils die Flächen zwischen zwei benachbarten Schnittpunkten (hier a und b), wie folgt:
 
oder
 

Wenn man sich sicher ist, dass f(x) in diesem Intervall von a bis b oberhalb von g(x) liegt, kann man die Betragsstriche auch weglassen.

Wie bestimmt man die Gegenseitige Lage von zwei Ebenen in Parameterform?
Man setzt die beiden Ebenen gleich und löst, das LGS so, dass man möglichst eine Gleichung zwischen den beiden Parametern einer Ebene erhält. Diese Gleichung bestimmt die Schnittgerade, die man durch Einsetzen in die zugehörige Ebene erhält.

Hinweis: Vermutlich ist es einfacher zunächst mit Hilfe des Kreuzprodukts die beiden Normalenvektoren zu bestimmen und mit deren Hilfe die Lage zu bestimmen.
Wie bestimmt man die Gleichung einer Tangente an einer gegebenen Stelle a?
Zunächst bestimmt man den Punkt an dieser Stelle durch einsetzen in die Funktion: P(a|f(a)
Dann bestimmt man die Steigung: m=f'(a)
Dies setzt man in die allgemeine Geradengleichung
y=mx+b ein (für y=f(a), m=f'(a), x=a) und bestimmt b. Mit den Werten m und b kann man die Geradengleichung angeben.

Alternativ kann man Punkt und Steigung auch direkt in die Punkt-Steigungsform der Geraden einsetzen:
Wie bestimmt man die Lage zweier Ebenen, wenn eine Ebene in Koordinatenform, die andere in Parameterform gegeben ist?
Man bestimmt zunächst den allgemeinen Ebenenpunkt der Ebene in Parameterform und setzt diesen in die Koordinatenform der anderen Ebene ein.

Wenn sich eine unwahre aussage ergibt, so sind die Ebenen parallel. 
Ergibt sich eine (immer) wahre Aussage (z.B. 3=3) so sind die Ebenen identisch. 
Ergibt sich eine Gleichung zwischen den beiden Parametern, so erhält man die Schnittgerade, wenn man diese Gleichung nach einem Parameter auflöst und in die Parameterform einsetzt. 
Wie bestimmt man die Länge einer Strecke zwischen zwei Punkten A und B?
Man bestimmt den Differenzvektor zwischen zwei Punkten und dessen Länge mit Hilfe des Pythagoras. Hinweis: Das funktioniert auch im Zweidimensionalen.

Wie bestimmt man die Monotonie einer Funktion?
Das Monotonieverhalten wird durch die erste Ableitung bestimmt. Ist die erste Ableitung kleiner als 0 (f'(x) < 0), so fällt die Funktion. Die Funktion steigt, wenn die erste Ableitung größer als Null ist. 

rechnerisches Vorgehen: Man bestimmt die Stellen an denen die erste Ableitung 0 ist (man setzt f'(x)=0) und prüft an selbst gewählten Zwischenwerten ob die erste Ableitung positiv oder negativ ist. (Fachlicher Hinweis. Dies Funktioniert natürlich nur sicher bei stetig differenzierbaren Funktionen. Im Abitur sind das aber eigentlich alle Funktionen)

Man unterscheidet zwischen streng monoton und monoton. Eine Funktion ist streng monoton steigend, wenn für zwei Werte  mit  gilt . Sie ist dagegen nur monoton steigend, wenn für zwei Werte  mit  gilt . Das heißt bei streng monoton steigend ist jeder Funktionswert rechts von einem gewählten Funktionswert wirklich größer bei monoton können die Werte auch gleich groß sein.
Wie bestimmt man die gegenseitige Lage einer Geraden und einer Ebene in Koordinatenform?
Man bestimmt den allgemeinen Geradenpunkt und setzt ihn in die Ebenengleichung ein.
Erhält man eine unwahre aussage, so liegt die Gerade parallel. 
Erhält man eine eindeutige Lösung für den Parameter der Geraden, so bestimmt dieser den Schnittpunkt. 
Ansonsten liegt die Gerade in der Ebene (wahre Aussage wie z.B. 3=3)
Wie bestimmt man eine Ebene aus zwei Geraden die sich schneiden?
Die beiden Richtunsvektoren der beiden Geraden können als Richtungsvektoren der Ebene gewählt werden und einer der Stützvektoren einer Geraden als Stützvektor der Ebene.
Wie bestimmt man einen Sattelpunkt?
Es muss gelten:


(bzw. es muss eine waagerechte Tangente (f'(x)=0) und ein Wendepunkt vorliegen - notfalls muss über das Vorzeichenwechselkriterium geprüft werden)
Wie bestimmt man einen Wendepunkt?
Es muss gelten f''(x)=0 (keine Krümmung).
An diesen Stellen liegt möglicherweise ein Wendepunkt vor.

Diese möglichen Wendestellen werden entweder durch Einsetzen in die dritte Ableitung oder das Vorzeichenwechselkriterium geprüft.

Ist die dritte Ableitung ungleich als Null, so liegt ein Wendepunkt vor.

Beim Vorzeichenwechselkriterium bestimmt man den Wert der zweiten Ableitung links und rechts von der zu prüfenden Stelle. Wenn das Vorzeichen wechselt, so liegt ein Wendepunkt vor.
Wie bildet man eine Ebene aus einer Geraden und einem Punkt P?
Man ergänzt die Gerade um einen weiteren Richtungsvektor aud dem Differenzvektor des Stützvektors der Geraden und dem Punkt P:
Hier ist der Ortsvektor von A der Stützvektor sowohl der Geraden als auch der Ebene.

Hinweis: P darf nicht auf der Geraden liegen
Wie erhält man die Nullstellen einer Funktion?
Man setzt die Funktion gleich 0 (f(x)=0) und löst nach x auf.

Auch: Schnittpunkte mit der x-Achse
Wie erhält man die Steigung einer Tangente an eine gegebene Funktion?
Man bestimmt die Ableitung an der Berührstelle.
Wie erhält man eine Ebene aus zwei parallelen Geraden.
Ein Stützvektor einer Geraden wird als Stützvektor der Ebene gewählt, die benötigten Richtungsvektoren erhält man aus dem Richtungsvektor einer Geraden und dem Differenzvektor der beiden Stützvektoren.
Wie erkenne ich ein lokales Maximum (Hochpunkt)?
Es muss gelten f'(x)=0 (waagerechte Tangente).
An diesen Stellen liegt möglicherweise ein Extremum vor.

Diese möglichen Extremstellen werden entweder durch einsetzen in die zweite Ableitung oder das Vorzeichenwechselkriterium geprüft.

Ist die zweite Ableitung kleiner als Null (f''(x)<0), so liegt ein Hochpunkt vor (Rechtskrümmung).

Beim Vorzeichenwechselkriterium bestimmt man den Wert der ersten Ableitung links und rechts von der zu prüfenden Stelle. Für einen Hochpunkt muss das Vorzeichen von + (steigend) nach - (fallend) wechseln.
Wie erkenne ich ein lokales Minimum (Tiefpunkt)?
Es muss gelten f'(x)=0 (waagerechte Tangente).
An diesen Stellen liegt möglicherweise ein Extremum vor.

Diese möglichen Extremstellen werden entweder durch einsetzen in die zweite Ableitung oder das Vorzeichenwechselkriterium geprüft.

Ist die zweite Ableitung größer als Null (f''(x)>0), so liegt ein Tiefpunkt vor (Linkskrümmung).

Beim Vorzeichenwechselkriterium bestimmt man den Wert der ersten Ableitung links und rechts von der zu prüfenden Stelle. Für einen Tiefpunkt muss das Vorzeichen von - (fallend) nach + (steigend) wechseln.
Wie erkennt man, dass eine Ebene und eine Gerade parallel sind?
Man bildet das Skalarprodukt aus Richtungsvektor und Normalenvektor der Ebene. Ist die ungleich 0, so schneiden sich Ebene und Gerade. Falls das Skalarprodukt gleich 0 ist, so prüft man, ob der Stützvektro der Geraden in der Ebene liegt, dann läge auch die Gerade in der Ebene, sonst wäre sie parallel.

Bemerkung: Falls die Ebene in Parameterform vorliegt, könnte man mit Hilfe der linearen Abhängigkeit der Richtungsvektoren prüfen.
Wie kann man aus einer gegebenen Änderungsrate die zugehörige Funktion bestimmen?
Durch die Bidlung einer Stammfunktion bzw. Integration (umgangssprachlich aufleiten). 
Mit Hilfe eines "Start- oder Anfangswertes" kann dann zumeist noch die Integrationskonstante C bestimmt werden.
Wie kann man die Lage zweier Geraden bestimmen?
1. Man setzt sie gleich und betrachtet die Lösungsmenge des Gleichungssystems (Achtung: Verschiedene Parameterbuchstaben wählen)

2. Man prüft die Lage der Richtungsvektoren zueinander und prüft gegebenenfalls noch auf gemeinsame Punkte.
Wie können zwei Geraden im Raum zueinander liegen?
Sie können sich schneiden, parallel oder identisch sein.
Wie lauten die Geradengleichungen der Koordinatenachsen?
für die x1-Achse. Entsprechend andere Richtungsvektoren für die x2- und x3-Achse
Wie lauten die Logarithmengesetze?

Oder in Worten:
* Der Logarithmus einen Produkts ist gleich der Summe der Logarithmen der Faktoren
* Der Logarithmus eines Quotienten ist gleich der Differenz der Logarithmen aus Divident und Divisor.
* Der Logarithmus einer Potenz ist gleich dem Produkt aus dem Exponenten mal dem Logarithmus der Basis (oder kurz: Ein Exponent im Logarithmus kann als Vorfaktor geschrieben werden)

Wie lauten die Potenzrechengesetze?
Wie lauten die binomischen Formeln?
Wie lautet der "Hauptsatz der Differenzial und Integralrechnung"
Wenn man eine Stammfunktion ableitet erhält man die Integrandenfunktion. 
Alternative Schreibweise (zur Berechnung von Integralen wichtig):
Wie lautet der Satz des Pythagoras?
In einem rechtwinkligen Dreieck ist die Summe der beiden Kathetenquadrate ist gleich dem Hypothenusenquadrat.

Dabei ist c die Hypothenuse (gegenüber vom rechten Winkel)
Wie lautet die Geradengleichung in Parameterform?
Mit dem Stützvektor a (ein Punkt der Geraden)
und dem Richtungsvektor r.
Wie lautet die Gleichung einer zur y-Achse symmetrischen ganzrationalen Funktion (z.B. vierten Grades)?
Die Funktion enthält nur gradzahlige Exponenten und ein absolutes Glied (), z.B.
Wie lautet die Kettenregel?

Innere mal äussere Ableitung (an der Stelle der Inneren) oder 

Wie lautet die Koordinatengleichung einer Ebene?
Dabei ist n ein Normalenvektor:
Wie lautet die Koordinatengleichung einer Koordinatenebene?
für die x1-x3-Ebene. Entsprechend für die anderen Ebenen.
Wie lautet die Produktregel?

bzw. ausführlich
Wie lautet die allgemeine Geradengleichung?
y=mx+b 
mit Steigung m und y-Achsenabschnitt b
Wie lautet die allgemeine Gleichung einer Funktion zweiten Grades (Parabel)?
oder in Scheitelpunktform
Dabei liegt der Scheitelpunkt im Punkt S(d|e)
Wie lautet die erste Ableitung von:

(Kettenregel)
Wie lautet die erste Ableitung von:

Wie lautet die erste Ableitung von:

Wie lautet eine Ebenengleichung in Parameterform?
Mit dem Stützvektor a und den beiden Richtungsvektoren r1 und r2
Wie löst man eine Gleichung dritten oder höheren Grades?
Alle Terme auf eine Seite bringen, dann wenn möglich ausklammern, substituieren (z.B. z=x²) oder eine Nullstelle raten und Polynomdivision anwenden.

Das Ziel ist immer den Grad der Funktion zu reduzieren.
Wie löst man eine quadratische Gleichung?
Alle Terme auf eine Seite bringen, dann die pq-Formel anwenden (zunächst durch den Vorfaktor von x² teilen).
Wie multipliziert man zwei Matrizen?
Man bildet das Skalarprodukt aus der i-ten Zeile der ersten Matrix mit der k-ten Spalte der zweiten Matrix und trägt das Ergebnis an der Stelle i,k in die Ergebnismatrix ein.

„Matrix multiplication qtl2“ von Quartl - Eigenes Werk. Lizenziert unter CC BY-SA 3.0 über Wikimedia Commons - http://commons.wikimedia.org/wiki/File:Matrix_multiplication_qtl2.svg#/media/File:Matrix_multiplication_qtl2.svg
Wie prüft man auf Punktsymmetrie zum Ursprung?
Es muss gelten f(-x)=-f(x).
Bei einer ganzrationalen Funktion, bzw. einem Polynom müssen alle Exponenten ungerade sein. 
Bemerkung. Es gilt 
Wie prüft man die Lage zweier Ebenen in Koordinatenform?
Aus den Kooeffizienten (Vorfaktoren) erhält man die beiden Normalenvektoren. Sind diese parallel (Vielfache voneinander), so können die Ebenen Parallel oder identisch sein. Um diese beiden Fälle zu unterscheiden, muss man einen Punkt der einen Ebene bestimmen und ihn in die andere Einsetzen.

In jedem anderen Fall schneiden sich die beiden Ebenen in einer Geraden. 
Wie prüft man eine Funktion auf Achsensymmetrie?
Es muss gelten: 
Bei einer ganzrationalen Funktion müssen alle Exponenten gerade sein.
Wie prüft man zwei Ebenen auf Parallelität?
Am einfachsten, in dem man prüft ob die beiden Normalenvektoren parallel (Vielfache voneinander) sind.

Etwas komplexer: Die beiden Richtungsvektoren der einen Ebene müssen sich jeweils als Linearkombination der Richtungsvektoren der anderen Ebene darstellen lassen (linear Abhängig sein)
Wie prüft man zwei Vektoren a und b auf lineare Abhängigkeit?
Man prüft, ob sie Vielfache voneinander sind. Ansatz:

Wie sieht die folgende Funktion aus und welche Funktionen haben einen ähnlichen Verlauf?

Alle Funktionen mit einer geraden Potenz von x im Nenner und einer positiven Zahl im Zähler (oder Vorfaktor) haben einen ähnlichen Verlauf, z.B.
Wie sieht die folgende Funktion aus und welche Funktionen haben einen ähnlichen Verlauf?

Alle Funktionen mit einer ungeraden Potenz von x im Nenner und einer positiven Zahl im Zähler (oder Vorfaktor) haben einen ähnlichen Verlauf, z.B.
Wie sieht die folgende Funktion aus und welche Funktionen haben einen ähnlichen Verlauf?


Alle Funktionen mit einem Geraden Exponenten und einen positiven Vorfaktor haben einen ähnlichen Verlauf, z.B.
Wie sieht die folgende Funktion aus und welche Funktionen haben einen ähnlichen Verlauf?


Alle Funktionen mit einem ungeraden Exponenten und einen positiven Vorfaktor haben einen ähnlichen Verlauf, z.B.

Wie sieht die folgende Funktion aus?

Wie sieht die folgende Funktion aus?

Wie spiegelt man einen Punkt P an einem Punkt Q?
In Worten: Man bestimmt den Verbindungsvektor von Q nach P und zieht diesen von Q ab, bzw. addiert den Gegenvektor (umgekehrte Richtung) zu Q.
Wie wandelt man die Parameterform in Koordinatenform um mit Vektorprodukt?
Man bildet zunächst das Vektorprodukt der beiden Richtungsvektoren und erhält den Normalenvektor.
Aus diesem bildet man die Vorfaktoren n1,n2,n3 der Koordinatenform. 
Durch Einsetzen des Stützvektors für x bestimmt man d.
zur Erinnerung:

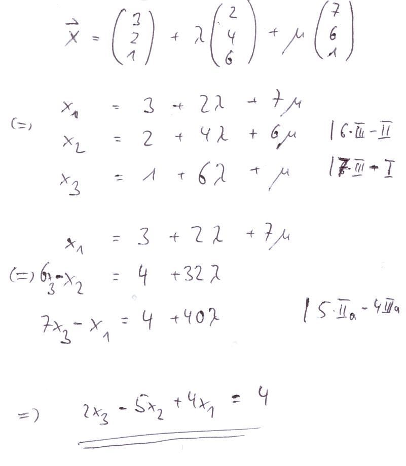
Wie wandelt man die Parameterform in die Koordinatenform ohne Verwendung des Vektorprodukts um?
Man schreibt jede Koordinate in eine eigene Zeile und entfernt durch das Additionsverfahren (wie beim Gaußverfahren) die beiden Parameter aus einer Zeile:
Wie weist man nach, dass F(x) eine Stammfunktion von f(x) ist?
Es muss gelten F'(x)=f(x) .
Man leitet also F(x) ab und zeigt, dass f(x) herauskommt (Hauptsatz der Differenzial und Integralrechnung)
Wie weist man nach, dass sich zwei Geraden orthogonal schneiden?
Zwei Geraden sind orthogonal, wenn ihre Richtungsvektoren orthogonal sind (d.h. Skalarprodukt = 0).
Um zu prüfen, ob sich beide Geraden schneiden setzt man sie gleich (Achtung: Verschiedene Parameter wählen) und bestimmt den Schnittpunkt.
Wie weist man nach, dass zwei Geraden im Raum parallel sind?
Die Richtungsvektoren müssen Vielfache voneinander sein und der Stützvektor der einen Geraden darf nicht auf der anderen Geraden liegen.

Alternativ: Man könnte die Geraden mit zwei verschiedenen Parametern gleichsetzen und erhält im Falle der Parallelität ein Unlösbares LGS.
Woran erkennt man das zwei Geraden parallel sind?
Sie haben die gleiche Steigung
Woran erkennt man, dass zwei Geraden senkrecht zueinander sind?
Das Produkt ihrer Steigungen ergibt -1.
Hinweis: Für die Steigung der Normalen und der Tangentensteigung gilt ja