Wie lautet die erste binomische Formel?
Gib die drei nächstgrößeren Einheiten an: mm
cm, dm, m
Wandle in m um: 346,9876 km
Wie lautet die zweite binomische Formel?
Wie lautet die dritte binomische Formel?
Wie verhalten sich die Größen bei einer proportionalen Zuordnung zueinander?
Wenn man die eine Größe verdoppelt, verdoppelt sich auch die andere Größe.
Wie verhalten sich die Größen bei einer antiproportionalen Zuordnung zueinander?
Wenn man die eine Größe halbiert, verdoppelt sich die andere Größe.
Wie verhalten sich die Größen bei einer linearen Zuordnung zueinander? Nenne ein Beispiel.
Wenn man die eine Größe um einen festen Betrag erhöht, erhöht sich die andere Größe auch immer um einen festen Betrag.
Beispiel: Taxifahrt: Pro km erhöht sich der Fahrpreis immer um den gleichen Betrag zuzüglich zum Grundbetrag.
5 kg Äpfel kosten 4 €. Wie viel kosten 3 kg Äpfel?
Es handelt sich um eine proportionale Zuordnung.
Gib eine Formel zur Berechnung des Prozentsatzes p aus dem Prozentwert W und dem Grundwert G an.
Gib eine Formel zur Berechnung des Grundwertes G aus Prozentsatz p und Prozentwert W an.
Gib eine Formel zur Berechnung des Prozentwertes W aus dem Prozentsatz p und dem Grundwert G an.
Was bedeutet eine Steigung von 15%
Auf 100m steigt eine Straße um 15m
Schreibe 15 % als Bruch und Dezimalzahl
Schreibe als Prozentzahl: 1,03
103%
Schreibe in Prozent:
30%
Mit welcher Rechnung berechnet man das Kapital
in fünf Jahren bei einem Zinssatz von 3% und einem Startkapital von 2000€ ?
Löse im Kopf 3b+10=4b+8
b=2
Löse im Kopf 4x+5=2x+15
x=5
Löse im Kopf 9b+3=7b+11
b=4
Löse im Kopf 5+7x=45+3x
x=10
Löse im Kopf 5d+4=4+d
d=0
Löse im Kopf 16v+7=15v+1
v=-6
Löse im Kopf 8n-15=3n
n=3
Löse im Kopf 12k=15k-60
k=20
Löse im Kopf 5(b+3)=25
b=2
Löse im Kopf 2(x+1)=10
x=4
Löse im Kopf 10-n=23
n=-13
Löse im Kopf 8+0,5x=2,5x
x=4
Löse im Kopf
b=6
Löse die Klammer auf oder klammere aus4 (d+5)
4d+20
Löse die Klammer auf oder klammere aus3(2x+4)
6x+12
Löse die Klammer auf oder klammere aus2(s-6)
2s-12
Löse die Klammer auf oder klammere aus(2t-5)*12
24t-60
Löse die Klammer auf oder klammere aus(0,5+3x)*6
3+18x
Löse die Klammer auf oder klammere aus(-1)*(z+2)
-z-2
Löse die Klammer auf oder klammere aus(2-5k)*(-3)
-6+15k
Löse die Klammer auf oder klammere aus0,5*(10x+20)
5x+10
Löse die Klammer auf oder klammere aus8x+16
8(x+2)
Löse die Klammer auf oder klammere aus15-35a
5(3-7a)
Löse die Klammer auf oder klammere aus24d-48
24(d-2)
Löse die Klammer auf oder klammere aus-36+9x
9(-4+x)
Löse die Klammer auf oder klammere aus
Löse die Klammer auf oder klammere aus
Löse die Klammer auf oder klammere aus-3,5v-10,5
-3,5(v+3) oder 3,5 * (-v-3)
Löse die Klammer auf oder klammere aus
Vereinfache im Kopf 4 (5+x) + 3 (2x-4)
10x+8
Wie bestimmt man den Durchschnitt (das arithmetische Mittel) einer Menge von Zahlen.
Man addiert alle Zahlen und dividiert durch die Anzahl.
Wie bestimmt man das Volumen eines Quaders (Würfels)?
V
Quader=a b c
VWürfel = a3
Wie bestimmt man das Volumen eines Prismas?
V = G h
Volumen gleich Grundfläche mal Höhe
(gilt auch für Zylinder oder ähnliches)
Wie bestimmt man das Volumen einer Pyramide oder Spitzen Kegels?

G ist die Grundfläche
Wie bestimmt man den Flächeninhalt und den Umfang des Kreises?
Wie bestimmt man den Flächeninhalt eines Parallelogramms

Grundseite mal zugehöriger Höhe
Bestimme den Flächeninhalt eines Dreiecks

Einhalb Grundseite mal zugehöriger(!) Höhe
Wie bestimmt man den Flächeninhalt eines Trapezes?
Man multipliziert zwei Brüche, ...
in dem man die Zähler und die Nenner multipliziert
Man addiert zwei Brüche, ...
in dem man gleichnamig macht, die Zähler addiert und die Nenner beibehält
Man subtrahiert zwei Brüche,
in dem man gleichnamig macht, die Zähler subtrahiert und die Nenner beibehält
Man dividiert durch einen Bruch, ...
in dem man mit dem Kehrwert multipliziert
Man erweitert einen Bruch, ...
in dem man Zähler und Nenner mit der gleichen Zahl multipliziert.
Man kürzt einen Bruch, ...
in dem man Zähler und Nenner durch die gleiche Zahl teilt.
Vereinfache im Kopf -d-d-d-d-d
-5d
Vereinfache im Kopf 2b+3b+b
6b
Vereinfache im Kopf 6f+3f+f+9f
19f
Vereinfache im Kopf 60g-30g
30g
Vereinfache im Kopf 2,3s+1,3s
3,6s
Vereinfache im Kopf 6,5t-2,3t-t
3,2t
Vereinfache im Kopf 60,3y-42y+2y
16,3y
Vereinfache im Kopf 3x-7x+13x
9x
Wie lautet die allgemeine Geradengleichung?
Wie berechnet man die Steigung m einer Geraden?
Bestimme die Steigung der Geraden
durch die Punkte
Wie zeichnet man die Gerade mit der Gleichung
Man zeichnet zunächst den y-Achsenabschnitt -2 ein und dann geht man eine Einheit zur Seite und drei Einheiten nach oben (Steigung m=3).
Wie prüft man auf Punktsymmetrie zum Ursprung?
Es muss gelten f(-x)=-f(x).
Bei einer ganzrationalen Funktion, bzw. einem Polynom müssen alle Exponenten ungerade sein.
Bemerkung. Es gilt

Wie bestimmt man den Schnittpunkt zweier Funktionen?
Durch Gleichsetzen (f(x) = g(x)).
Wenn man nach x auflöst erhält man die Schnittstelle. Diese setzt man dann in f(x) oder g(x) ein um den y-Wert des Schnittpunkts zu erhalten.
Wie bestimmt man den y-Achsenabschnitt?
Man bestimmt f(0)
Wie sieht die folgende Funktion aus und welche Funktionen haben einen ähnlichen Verlauf?

Alle Funktionen mit einem Geraden Exponenten und einen positiven Vorfaktor haben einen ähnlichen Verlauf, z.B.
Wie erhält man die Nullstellen einer Funktion?
Man setzt die Funktion gleich 0 (f(x)=0) und löst nach x auf.
Auch: Schnittpunkte mit der x-Achse
Wie sieht die folgende Funktion aus und welche Funktionen haben einen ähnlichen Verlauf?

Alle Funktionen mit einem ungeraden Exponenten und einen positiven Vorfaktor haben einen ähnlichen Verlauf, z.B.
Wie sieht die folgende Funktion aus und welche Funktionen haben einen ähnlichen Verlauf?

Alle Funktionen mit einer ungeraden Potenz von x im Nenner und einer positiven Zahl im Zähler (oder Vorfaktor) haben einen ähnlichen Verlauf, z.B.
Wie sieht die folgende Funktion aus und welche Funktionen haben einen ähnlichen Verlauf?

Alle Funktionen mit einer geraden Potenz von x im Nenner und einer positiven Zahl im Zähler (oder Vorfaktor) haben einen ähnlichen Verlauf, z.B.
Wie lauten die Logarithmengesetze?

Oder in Worten:
* Der Logarithmus einen Produkts ist gleich der Summe der Logarithmen der Faktoren
* Der Logarithmus eines Quotienten ist gleich der Differenz der Logarithmen aus Divident und Divisor.
* Der Logarithmus einer Potenz ist gleich dem Produkt aus dem Exponenten mal dem Logarithmus der Basis (oder kurz: Ein Exponent im Logarithmus kann als Vorfaktor geschrieben werden)
Wie lauten die binomischen Formeln?
Wie lautet die allgemeine Gleichung einer Funktion zweiten Grades (Parabel)?

oder in Scheitelpunktform
Dabei liegt der Scheitelpunkt im Punkt S(d|e)
Wie lautet die Gleichung einer zur y-Achse symmetrischen ganzrationalen Funktion (z.B. vierten Grades)?
Die Funktion enthält nur gradzahlige Exponenten und ein absolutes Glied (

), z.B.
Was ist eine Normale und wie erhält man ihre Steigung?
Eine Normale ist eine Senkrechte zur Funktion, sie liegt somit um 90° gedreht zur Tangente. Ihre Steigung erhält man als negativen Kehrwert der Tangentensteigung:
Wie prüft man eine Funktion auf Achsensymmetrie?
Es muss gelten:
Bei einer ganzrationalen Funktion müssen alle Exponenten gerade sein.
Wie lautet die allgemeine Geradengleichung?
y=mx+b
mit Steigung m und y-Achsenabschnitt b
Gib die Gleichung einer parallelen zur x-Achse an
y=f(x)=c (eine Konstante Zahl), z.B. f(x)=5
Gib die Gleichung einer parallelen zur y-Achse an
x=c (eine Konstante Zahl), z.B. x=5 (dies ist keine Funktion)
Woran erkennt man, dass zwei Geraden parallel sind?
Sie haben die gleiche Steigung
Woran erkennt man, dass zwei Geraden senkrecht zueinander sind?
Das Produkt ihrer Steigungen ergibt -1.
Hinweis: Für die Steigung der Normalen und der Tangentensteigung gilt ja

Wie löst man eine quadratische Gleichung?
Alle Terme auf eine Seite bringen, dann die pq-Formel anwenden (zunächst durch den Vorfaktor von x² teilen).
Wie löst man eine Gleichung dritten oder höheren Grades?
Alle Terme auf eine Seite bringen, dann wenn möglich ausklammern, substituieren (z.B. z=x²) oder eine Nullstelle raten und Polynomdivision anwenden.
Das Ziel ist immer den Grad der Funktion zu reduzieren.
Wie lauten die Potenzrechengesetze?
Wie lautet der Satz des Pythagoras?
In einem rechtwinkligen Dreieck ist die Summe der beiden Kathetenquadrate ist gleich dem Hypothenusenquadrat.
Dabei ist c die Hypothenuse (gegenüber vom rechten Winkel)
Ein Produkt ist Null, wenn ...
einer der Faktoren Null ist.
Wenn man eine Ungleichung mit einer negativen Zahl multipliziert, ...
dreht sich das Ungleichheitszeichen um.
(aus größer wird kleiner und umgekehrt)
Was ist die (maximale) Definitionsmenge?
Die Menge aller Werte, die in eine Funktion eingesetzt werden können.
Was ist die Definitionsmenge von
alle reellen Zahlen ohne 1
Was ist die Wertemenge?
Das ist die Menge aller Funktionswerte einer Funktion. Also alle Werte, die die Funktion annehmen kann.
Bestimme die Wertemenge von Fehler beim Ausführen von latex.
Erzeugte Datei: /tmp/anki_temp/tmp.tex
Sind LaTeX und dvipng installiert?
Da die Normalparabel um 1 nach unten verschoben ist, kann sie nur alle Werte größer oder gleich -1 annehmen.
Was ist der Funktionswert?
Eine Funktion

nimmt den Funktionswert

für einen bestimmten

-Wert an.
Wie sieht die Sinusfunktion im Graphen aus?
Wie sieht die Cosinusfunktion im Graphen aus?
Wie sieht die Tangensfunktion aus?
Wie rechnet man das Gradmaß in das Bogenmaß um?
Wie rechnet man das Bogenmaß in das Gradmaß um?
Welchem Gradmaß entspricht
90°
Welchem Bogenmaß entsprechen 180°?
Wie lauten die Sinuswerte von 0°,30°,45°,60° und 90° ?
Welche Seitenverhältnisse gehören zu sinus, cosinus und tangens im rechtwinkligen Dreieck?
Wo findet man Sinus, Cosinus und Tangens am Einheitskreis?
Wie lautet die allgemeine Sinusfunktion in Normgestalt?
Welche Bedeutung haben die Parameter A,B,C und D bei der Sinusfunktion
A bestimmt die Streckung/Stauchung in y-Richtung (somit die Amplitude)
B bestimmt die Streckung und Stauchung in x-Richtung (Einfluss auf die Periode)
C bestimmt die Verschiebung in x-Richtung
D bestimmt die Verschiebun gin y-Richtung
Wie berechnet man aus dem Parameter B der Sinusfunktion die Periode p?
Wie berechnet man aus der Periode p den Parameter B der Sinusfunktion?
Skizziere die Funktion
.png)
Die Amplitude ist 3, der "Startpunkt" der Sinusfunktion liegt bei (3 | -1) - die zwei im Sinus muss erst ausgeklammert werden - Die Periode beträgt p = 2pi / 2 = pi
Wie wird eine Funktion in y-Richtung gestreckt?
Sie wird mit einem Faktor a multipliziert (a>1 für Streckung):
Wie wird eine Funktion in y-Richtung gestaucht?
Sie wird mit einem Faktor a multipliziert (0 < a < 1 für Stauchung):
Wie wird eine Funktion in y-Richtung (d.h. auch vertikal) verschoben?
In den man einen Wert zur Funktion addiert:
Wie wird eine Funktion in x-Richtung (horizontal) verschoben?
In dem man jedes Vorkommen von x in der Funktionsgleichung durch (x-c) ersetzt. Die Funktion wird dann um c in x-Richtung verschoben:
Wie wird eine Funktion in x-Richtung gestreckt oder gestaucht (horizontal)?
In dem man jedes Vorkommen von x mit einem Faktor a versieht (x wird zu a*x). Die Funktion wird dann um den Faktor 1/a gestreckt bzw. gestaucht:
Wie spiegelt man eine Funktion an der x-Achse?
In dem man die gesamte Funktion mit (-1) malnimmt:
Wie spiegelt man eine Funktion an der y-Achse?
Jedes x in der Funktionsgleichung wird durch (-x) ersetzt:
Wie lautet die Punkt-Steigungsform einer Geraden?

Dies ist die Gerade mit der Steigung m durch den Punkt

Was ist eine Passante zu einer Parabel?
Das ist eine Gerade, die die Parabel nicht schneidet.
Was ist eine Tangente an eine Parabel?
Eine Gerade, die die Parabel in einem Punkt berührt.
Was ist eine Sekante zu einer Parabel?
Eine Gerade, die die Parabel an zwei Stellen berührt.
Wie findet man heraus, ob eine Gerade eine Passante, Tangente oder Sekante zu einer Parabel ist?
Man bestimmt die Schnittstellen von Gerade und Parabel. Je nach Anzahl (entscheidend ist der Wert unter der Wurzel der pq-Formel) hat man eine Passante (0 Stellen), Tangente (1) oder Sekante (2)
Wie bestimmt man eine Parabel, wenn man einen Punkt der Parabel und den Scheitelpunkt gegeben hat?
Man setzt den Scheitelpunkt für d und e und den Punkt für x und y in der Scheitelpunktform ein und bestimmt dann a. Mit den Werten für a, d und e ist die Parabel in Scheitelpunktform gegeben.
Wie bestimmt man eine Parabel, die durch drei gegebene Punkte geht?
Man setzt alle drei Punkte in die Normalform der Parabel für x und y
ein. Daraus erhält man ein Gleichungssystem für die drei Unbekannten a, b und c und drei Gleichungen. Aus der Lösung dieses Gleichungssystems bestimmt man die Normalform der Parabel.
Wie erstellt man eine Wertetabelle zu einer Funktion?
Man setzt verschieden x-Werte ein und berechnet die zugehörigen y-Werte. Dies ergibt die Wertetabelle.
Wie bestimmt man den Steigungswinkel einer Geraden?
Man verwendet die Gleichung

und löst sie mit dem Inversen tangens (tan^-1) nach alpha auf.
Welche Werte kann der Schnittwinkel zweier Geraden annehmen?

, denn es wird immer der kleinere der beiden Winkel gewählt.
Wie berechnet man den Schnittwinkel zweier Geraden?
Man berechnet die jeweiligen Steigungswinkel der beiden Geraden und aus den Ergebnissen den Schnittwinkel.
[...]
0
[...]
a
Welche beiden Äquivalenzumformunngen bringen x auf eine Seite und die Zahlen auf die andere?
Welche Potenzfunktionen (

) sind punktsymmetrisch?
Nur die mit ungeradem Exponenten n:
Welche Potenzfunktionen (

) sind achsensymmetrisch?
Nur die mit geradem Exponenten n:

und auch

Wie lautet die allgemeine Funktionsgleichung einer ganzrationalen Funktion?
Eine ganzrationale Funktion heißt auch [...].
Eine ganzrationale Funktion heißt auch Polynom.
Eine [...] heißt auch Polynom.
Eine ganzrationale Funktion heißt auch Polynom.
z.B. bei der pq-Formel muss man oft einen Bruch halbieren, wie kann man dies leicht durchführen?
Was ist somit die Hälfte von
Man halbiert einen Bruch, in dem man den Nenner verdoppelt.
Die Hälfte von

ist
Wie Multipliziert man zwei Klammern miteinander? (Distributivgesetz)
In dem man jedes Element der einen Klammer mit jedem der anderen Klammer multipliziert. Achtung: Die Vorzeichen bleiben bei dem jeweiligen Wert:
Um welche Art von Zuordnung handelt es sich? Bestimme das Ergebnis:
Ein Stapel aus 20 Büchern ist 32cm hoch. Wie hoch wäre ein Stapel aus 50 Büchern?
Es ist eine proportionale Zuordnung. Der Stapel wäre 80cm hoch
Zwei Bagger heben eine Baugrube in zehn Stunden aus. Wie lange würden 5 Bagger für die Grube brauchen?

5 Bagger würden 4 Stunden benötigen. (Antiproportionale Zuordnung)
Zwei Bagger heben eine Baugrube in zehn Stunden aus. Wie viele Bagger müsste man nach 6 Stunden Arbeitszeit holen, damit die Grube in der nächsten Stunden vollständig ausgehoben wird?
Die beiden Bagger hätten noch 4 Stunden gebraucht. Es handelt sich um eine antiproportionale Zuordnung:

Es werden 8 Bagger benötigt um in einer Stunde fertig zu werden. Somit müssen noch 6 Bagger geholt werden.
Eine Zahl wird um 35% verkleinert und man erhält 288,6. Wie heißt die Zahl?
Welche Zahl ist um 15% größer als 240 ?
Wie viel Prozent sind 272 von 680?
Um welchen Winkel steigt eine Straße mit der Steigung von 100%
45°
Gib den Anteil der gefärbten Fläche an:
Mit welcher Äquivalenzumformungen bringt man alle Terme mit x auf die linke Seite und welche Gleichung erhält man dann?
13x+15=12-7x
Äquivalenzumformung: +7x
man erhält: 20x+15=12
Mit welcher Äquivalenzumformung löst man nach x auf und welche Gleichung erhält man dann?
-91=-13x
Äquivalenzumformung: :(-13)
die Gleichung lautet: 7=x
Mit welcher Äquivalenzumformung löst man die Klammern auf? und welche Gleichung erhält man dann?
5(3+x)-17=2(5-2x)
Äquivalenzumformung: Termvereinfachung
die Gleichung lautet: 15+5x-17=10-4x
Mit welcher Äquivalenzumformung stellt man die Terme mit x alleine und welche Gleichung erhält man dann?
4x+20=100
Äquivalenzumformung: -20
die Gleichung lautet: 4x=80
Ist die Zahl rational oder irrational?
0,101001000100001000001...
irrational
Ist die Zahl rational oder irrational?
0,10201020102010201020...
rational
Wandle

in einen Bruch um.

=
Wandle

in einen Bruch um.

=
Wandle

in einen Bruch um.

=
Was ist das Distributivgesetz?
Das Verteilungsgesetz - Ein Vorfaktor wird auf die Summanden in der Klammer verteilt. Beispiel:
Was ist eine rationale Zahl?
eine Zahl, die man als Bruch schreiben kann, oder
eine Zahl mit einer abbrechenden oder periodischen Kommadarstellung
Was ist eine irrationale Zahl?
Eine unvernünftige Zahl, das heißt eine Zahl mit einer
nicht endenden und nicht periodischen Kommadarstellung.
Was darf nicht unter einer Wurzel stehen?
Eine negative Zahl
Wie viele Lösungen kann eine quadratische Gleichung haben?
keine, eine oder zwei
Was ist der Betrag einer Zahl?
Der Betrag einer Zahl idt der positive Wert einer Zahl und wird durch

gekennzeichnet, z.B.
Was ist eine Kubikwurzel?
Eine Kubikwurzel oder auch n-te Wurzel ist die Zahl, die 3 mal (oder n mal) mit sich selbst multipliziert den Radikanten ergibt. Beispiel:
Was sind die Wurzeln aus den Zahlen 64, 121, 256, 625, 1/4, 64/9
Ist 1,234567891011... eine irrationale Zahl?
Ja, denn sie hört nicht auf und wiederholt sich nicht
Ist 2,666666... eine irrationale Zahl?
Nein, denn sie hat eine Wiederholung/Periode:
Wie lang ist die Diagonale in einem Quadrat mit Kantenlänge a?
Wie heißt
Kubikwurzel
Schreibe als Bruch:
Berechne
Was muss eine Zahl sein/tun um rational zu sein?
Sie muss abbrechend oder periodisch sein.
Schreibe als Bruch 6,29001
Schreibe als Dezimalzahl:
1,25
Was ist
Gib einen Näherungswert für die Wurzel von 2 an
Löse die quadratische Gleichung
Bestimme die Quadrate von 9; 7; 10; 15; 0,1; 3 und 80
Wie geht das teilweise Wurzelzeihen (Radizieren)?
Man zerlegt den Radikanden in ein Produkt mit mindestens einer Quadratzahl als Faktor, aus diesem Faktor kann dann die Wurzel gezogen werden. Beispiel:
Vereinfache die folgenden Terme:
Löse die Gleichung
Mit welchem Verfahren kann man eine Wurzel (z.B. Wurzel aus 3) bestimmen?
Mit einer Intervallschachtelung
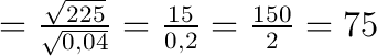
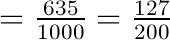
Wandle in einen Bruch: 0,635
Was ist ein Radikand?
Der Term unter dem Wurzelzeichen.
Bestimme zwei ganze Zahlen zwischen denen

liegt.
Wurzel aus 2 liegt im Interval zwischen den ganzen Zahlen ...
1 und 2
Kann eine irrationale Zahl in einen Bruch umgewandelt werden?
Nein
Schreibe

als Kommazahl (Dezimalzahl)
Ist

periodisch oder abbrechend?
Abbrechend! Es gilt zwar

aber dies ist gleich 1 also eine abbrechnde Kommazahl.
Wie lang ist die Diagonale eines Quadrats, dessen Seiten 2cm lang sind? Gib auch einen Näherungswert an.
Welche Wurzel ist "falsch" ?

, denn es darf nichts negatives unter der Wurzel stehen.
Zerlege

mit der dir bekannten Primfaktorzerlegung

Bestimme x
Bestimme die Potenzen
Was ist eine Quadratwurzel?
Die Zahl die mit sich selbst multipliziert den Radikanden ergibt.
Der Term unter der Wurzel wird auch ... genannt
Radikand
geht nicht, da nichts negatives unter der Wurzel stehen darf.
Für welches b hat die folgende Gleichung nur eine Lösung:

. Diese Gleichung hat nur eine Lösung, wenn auf der rechten Seite eine 0 steht, also für
Welche 2 Arten von rationalen Zahlen gibt es?
abbrechende und periodische
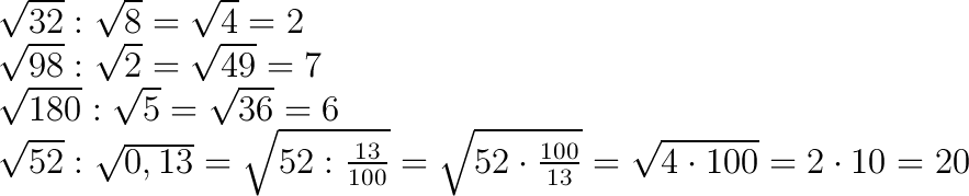
Berechne:
Berechne:
Ist 1,2346952346952... eine irrationale Zahl?
Nein, denn die Nachkommastellen wiederholen sich.
Vereinfache im Kopf s+s+s+s
4s
Vereinfache im Kopf x+x+2x+x
5x
Vereinfache im Kopf t+t+2t+t
5t
Vereinfache im Kopf x-x+x-x
0
Vereinfache im Kopf k+k+k-k-k
k
Eine Dezimalzahl ist rational, wenn sie ...
abbricht oder periodisch ist
Ein Bruch ist rational oder irrational?
rational
Wie funktioniert eine Intervallschachtelung?
Man sucht nach immer kleineren Intervallen (Zahlbereichen), in denen die gesuchte Zahl liegt, z.B.

liegt zwischen 1 und 2, da


liegt zwischen 1,4 und 1,5, da

Die Diagonale in einem Quadrat mit der Kantenlänge 1 hat die Länge

Das Quadrat mit der Kantenlänge d hat einen ... so großen Flächeninhalt wie das Quadrat mit der Kantenlänge a
doppelt
Ziehe teilweise die Wurzel:
√(12)
√(12) = √(4 * 3) = 2√(3)
Was ist der nächste sinnvolle Schritt bei der Äquivalenzumformung?
Wurzelziehen (Achtung plus/minus)

Die Klammer kann dann auch weggelassen werden.
Berechne den Term unter der Wurzel im Kopf
Das Quadrat ergibt 1/36 . Der Bruch 2/9 wird mit 4 erweitert um ebenfalls auf 36stel zu kommen: